Approximate Inductance Based on a Parallel Straight Wire Assumption (Electric Motors)


1.8.5
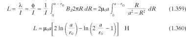
The inductance of a single-turn wire loop can be very roughly approximated (based on the field between two parallel straight wires) by integrating Eq. (1.356) over the area of the loop and dividing by the current, as follows, where r0 = wire radius:
tmp54F-105_thumbtmp54F-106_thumb