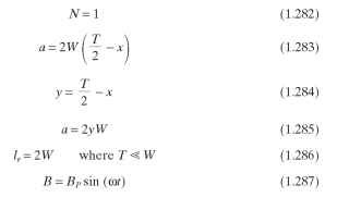
Eddy Current Power Loss (Electric Motors)

1.6.2
Eddy currents are induced around a changing magnetic field as defined by the induced voltage from Faraday's law and the conductivity of the material. An example of a changing magnetic flux density B inducing an eddy current density Je in a magnetic steel material is shown in Fig. 1.30. At low frequencies, the magnetic flux density is uniform over the steel cross section T x W. However, at high frequencies
Magnetic flux density B in a steel lamination induces eddy current density Je and produces an opposing magnetic flux according to Lenz's law.
FIGURE 1.30 Magnetic flux density B in a steel lamination induces eddy current density Je and produces an opposing magnetic flux according to Lenz's law.
the magnetic flux moves toward a thin layer near the outer surface of the magnetic material called the skin. This is called the skin effect. The skin thickness is defined as follows, where \i is the magnetic permeability, f is the cyclic frequency, co is the radian frequency, and o is the electrical conductivity.
tmp54F59_thumb_thumb
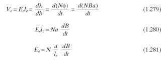
Low Frequencies, No Skin Effect (T < 0.5s). The voltage induced over the length of the eddy current path is defined by Faraday's law as follows. Under the condition of T < 0.5s, it can be assumed that the magnetic flux density is uniform over the cross-sectional area of the lamination.
tmp54F60_thumb_thumb
The number of turns made by the eddy current around the magnetic flux is one. The magnetic flux density is applied over an area a starting at the center of the lamination, and the eddy current path length le is the distance around the magnetic flux
density area. Also, it is assumed that the lamination thickness T is small compared to the width W, and the flux density is a sinusoidal function of time as follows.
tmp54F61_thumb_thumb
Substituting Eqs. (1.282) through (1.287) into Eq. (1.281) gives the following
expression for the electric field intensity in the path of the eddy current.
tmp54F62_thumb_thumb
The eddy current density is then obtained by multiplying the electric field intensity by the conductivity of the material in the path of the eddy current. The root mean square (RMS) value for the eddy current density is then obtained by dividing by the square root of 2, as follows.
tmp54F63_thumb_thumb
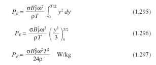
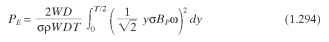
The power loss per unit volume due to the eddy current density is equal to the square of the eddy current density RMS value divided by the conductivity. The total eddy current power loss can be obtained by integrating over the entire volume. The eddy current power loss per unit mass (or the eddy current core loss) is obtained by dividing by the total mass of the eddy current path m = pv,as follows.
tmp54F64_thumb_thumb
The differential volume of the eddy current path and the total volume are defined from Fig. 1.30 as follows.
tmp54F65_thumb_thumb
Substituting Eqs. (1.290), (1.292), and (1.293) into Eq. (1.291) gives the following expression for the eddy current core loss:
tmp54F66_thumb_thumbtmp54F67_thumb_thumb
where T < 0.5s.
It should be noted here that the eddy current core loss is directly proportional to the square of the excitation frequency, the square of the flux density, and the square of the lamination thickness.
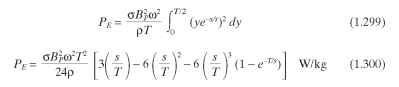
High Frequencies, Large Skin Effect (T > 5.0s). Under the condition of T > 5.0s, the magnetic flux density is not uniform over the cross-sectional area of the lamination. According to Bozorth (1993), it can be assumed that magnetic flux density varies exponentially over the cross-sectional area as follows.
tmp54F68_thumb_thumb
Substituting Eq. (1.298) into Eq. (1.281) and following the process previously used for Eqs. (1.288) through (1.297) gives the following general expression for the eddy current core loss.
tmp54F69_thumb_thumb
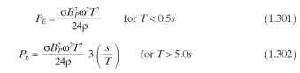
The eddy current core loss equation Eq. (1.300) is asymptotic to the following two limiting equations.
tmp54F70_thumb_thumb
As can be seen from Eq. (1.298), the magnetic flux is not completely confined to the depth of one skin thickness. However, Steinmetz defined a depth of penetration d which is described in Roters (1941) and Bozorth as the required surface layer thickness that will contain all of the magnetic flux at a uniform magnetic flux density equal to the magnetic flux density at the outside surface. The depth of penetration is shown in Eq. (1.303).
tmp54F71_thumb_thumb
Comparing the skin depth s in Eq. (1.278) to the depth of penetration d in Eq. (1.303) gives the following relationship.
tmp54F72_thumb_thumb
The depth of penetration d can be used to determine the total effective magnetic flux cross-sectional area and the peak magnetic flux density at the surface. This provides the capability to consider the effects due to saturation on performance, such as determining the limitations on peak force and peak inductance.