Energy (Electric Motors)

1.2.4

tmp54044_thumb_thumbtmp54045_thumb_thumb
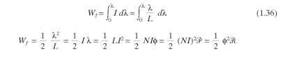
Input Electric Energy We. The input electrical energy can be calculated by integrating the coil voltage and current over time, as follows.
tmp54046_thumb_thumb
Substituting Faraday's law, Eq. (1.20), into Eq. (1.33) shows that the input electrical energy is equal to the product of the coil magnetizing current I and the flux linkage X.
tmp54047_thumb_thumb
Stored Magnetic Field Energy. As can be seen in Fig. 1.5, the flux linkage X is a function of the magnetizing current I and depends on the material properties or the magnetization curve. The stored magnet field energy is calculated by integrating Eq. (1.34) over the magnetization curve. By inspection of Eq. (1.34), the area of integration lies above the magnetization curve, as shown in Fig. 1.6.
The stored magnetic field energy can be calculated for linear materials by substituting Eq. (1.31) into Eq. (1.34) as follows. Linear materials are characterized by a constant value of inductance L or permeability |i.
tmp54048_thumb_thumb
where
Stored magnetic field energy and magnetic coenergy. tmp54049_thumb_thumb
FIGURE 1.6 Stored magnetic field energy and magnetic coenergy.
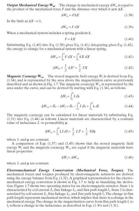
tmp54051_thumb_thumbGraphical visualization of electromechanical energy conversion.
FIGURE 1.7 Graphical visualization of electromechanical energy conversion.
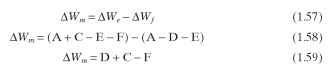
The change in electric energy and the change in stored magnetic field energy are defined as follows.
tmp54053_thumb_thumb
The electric energy and the stored magnetic field energy for states 1 and 2 can be obtained by using the applicable regions above and below the magnetization curve designated as A, B, C, D, E, F, and G in Fig. 1.7.
Electric energy:
tmp54054_thumb_thumb
Stored magnetic field energy:
tmp54055_thumb_thumb
The resulting change in the mechanical energy is obtained by rewriting the energy balance, Eq. (1.32), and substituting the results from Eqs. (1.52) and (1.56), as follows.
tmp54056_thumb_thumb
The magnetic coenergy for states 1 and 2 can also be obtained by using the applicable regions below the magnetization curve from Fig. 1.7, as follows.
tmp54057_thumb_thumb
A comparison of the results from Eqs. (1.59) and (1.63) shows that the change in mechanical energy is equal to the change in magnetic coenergy.
tmp54058_thumb_thumb
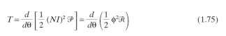
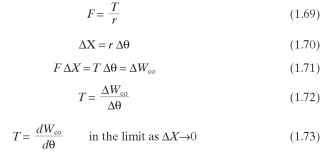
The mechanical force can be calculated as follows, by substituting Eq. (1.38) into
Eq. (1.65).
tmp54059_thumb_thumb
The mechanical torque can be calculated using Eq. (1.66) and the radius r that relates the force F, the torque T, the linear displacement X, and the angular displacement 6.
tmp54060_thumb_thumbtmp54061_thumb_thumbtmp54062_thumb_thumbtmp54063_thumb2