ESTIMATING THE PERMEANCE OF PROBABLE FLUX PATHS (Electric Motors)

1.3
Defining the permeance of the steel parts is very simple because the field is generally confined to the steel. Therefore, the flux path is very well defined because it has the same geometry as the steel parts.
Air gap permeance paths.
FIGURE 1.9 Air gap permeance paths.
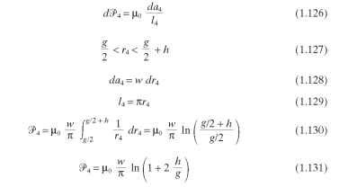
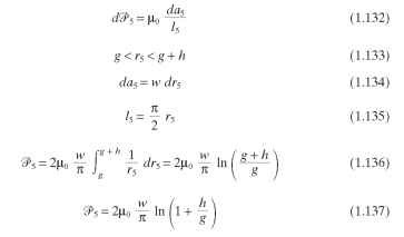
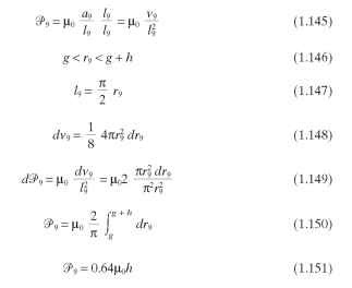
The flux path through air is complex. In general, the magnetic flux in the air is perpendicular to the steel surfaces and spreads out into a wide area. As an example, Fig. 1.9 shows five of the flux paths for a typical air gap between two pieces of steel. The total permeance of the air gap is equal to the sum of the permeances for the parallel flux paths. The permeance of each path can be calculated based on the dimensions shown in Fig.
tmp54076_thumb_thumb
the value for dimension h, as shown in Fig. 1.10, should be equal to 90 percent of the smaller thickness of the two steel parts, h = 0.9t. However, it is easier to remember the slightly larger value of h = 1.0t, and there is no significant loss in accuracy. Two examples of magnetic flux lines are shown in Fig. 1.11 (iron filings on a U-shaped magnet) and Fig. 1.12 (finite element result flux-line plot). In these examples it is easy to see the general flux path shapes shown in Fig. 1.9.
tmp54077_thumb_thumbAir gap and steel part dimensions.
FIGURE 1.10 Air gap and steel part dimensions.
Magnetic flux lines illustrated by iron filings on U-shaped magnet.
FIGURE 1.11 Magnetic flux lines illustrated by iron filings on U-shaped magnet.
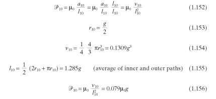
ume of flux path SP2. Roters (1941) uses a graphical approximation to the mean path length, resulting in a permeance with a value of SP2 = 0.26 \i0w, which is slightly larger than that shown here.
tmp54080_thumb_thumbtmp54081_thumb_thumbtmp54082_thumb_thumbMagnetic flux lines illustrated by a finite element solution flux-line plot on a U-shaped magnet.
FIGURE 1.12 Magnetic flux lines illustrated by a finite element solution flux-line plot on a U-shaped magnet.
tmp54084_thumb_thumb
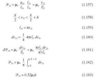
by integrating over the radius as follows. Roters (1941) uses the same procedure and shows the same results.
tmp54085_thumb_thumbtmp54086_thumb2tmp54087_thumb_thumbtmp54088_thumb_thumbtmp54089_thumb_thumbCorner flux paths in the shape of spherical octants and quadrants.
FIGURE 1.13 Corner flux paths in the shape of spherical octants and quadrants.
increases. Therefore, Eq. (1.30) is written in differential form, and the permeance is calculated by integrating over the radius as follows, where v9 is the volume of flux path 99. Roters (1941) uses a graphical approximation to both the mean path length and the mean path area, resulting in a permeance with a value of 99 = 0.50^0h, which is slightly smaller than that shown here.
tmp54091_thumb_thumbtmp54092_thumb_thumbtmp54093_thumb_thumbtmp54094_thumb_thumbtmp54095_thumb2tmp54096_thumb_thumb
Total Permeance. The total permeance of the air gap is equal to the sum of the individual parallel flux paths, as follows:
tmp54097_thumb_thumb