Variables may be identified from the following list below or from the figures.


See Fig. 6.27 for a representation of some of these variables.
Variables to Calculate

Calculation of Constants
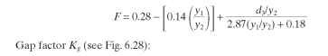
Slot correction factor F (see Figs. 6.29 to 6.37):


FIGURE 6.27 Lamination nomenclature.

FIGURE 6.28 Gap factor slot shapes: (a) semiclosed, (b) open, and (c) tunnel.


FIGURE 6.44 T-connected multispeed PSC motor.

FIGURE 6.45 L-connected multispeed PSC motor.