Imaginary Permeability (Electric Motors)


1.6.4
As described in Sec. 1.6.1, the hysteresis loop area represents an energy loss. Also, for nonsaturating conditions, the hysteresis loop can be modeled as a rotating vector system based on Eq. (1.23) as follows.
tmp54F-74_thumb
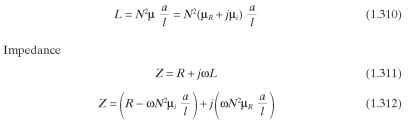
The system inductance and impedance can be written based on equations [1-30], [1-31] and [1-308].
Inductance
tmp54F-75_thumb
The first term of Eq. (1.312) represents the resistive impedance, and the second term represents the reactive impedance. Therefore, only the first term contributes to the power loss, as shown in Eq. (1.313).
tmp54F-76_thumb
The first term of Eq. (1.313) represents the power loss in the coil resistance, and the second term represents the power loss in the core. Therefore, the second term can be equated with the power loss in the core from Eq. (1.306), and the imaginary permeability can be determined, as follows.
tmp54F-77_thumb
Equation (1.22) can be written for NI, Eq. (1.23) can be written for H, and volume of the core is simply the product of the magnetic flux path length and the magnetic flux cross-sectional area. Substitution of these relations into Eq. (1.315) gives the imaginary permeability as a function of the excitation (B, c ) and the material properties (Pc, p,
tmp54F-78_thumb