Magnetic Far Field for a Magnetic Dipole Moment (Electric Motors)


1.7.6
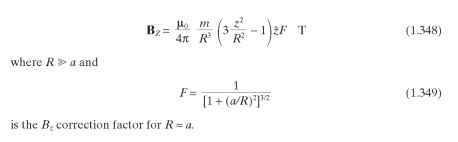
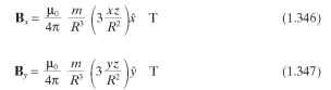
The magnetic field is well defined for points far from a magnetic dipole moment (far field, R > a; see Fig. 1.35).This means that the distance R must be large compared to the size of the magnetic dipole radius a or length l, or the size of the magnetic dipole a or l must be small compared to the distance R:
tmp54F-97_thumbGeometric configuration for a magnetic dipole moment.
FIGURE 1.35 Geometric configuration for a magnetic dipole moment.
tmp54F-99_thumb