Magnetic Moment for a Magnetic Material (Electric Motors)

1.7.2
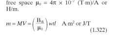
The magnetic moment m for a permanent magnet is equal to the magnetization M times the volume V, with a direction perpendicular to the north pole face (see Fig. 1.32). The magnetization or magnetic polarization M of a permanent magnet is equal to the operating point intrinsic flux density Bdi (see Fig. 1.33) divided by the permeability of
tmp54F82_thumb_thumbtmp54F83_thumb_thumb
FIGURE 1.32 Magnetic moment for a permanent magnet.
Approximate Magnetic Moment for a Permanent Magnet. High-energy permanent magnets (such as NdFeB and SmCo) typically have a very small recoil perme-
tmp54F84_thumb_thumb
Deriving from Fig. 1.33:
tmp54F85_thumb_thumbQuadrant II permanent magnet demagnetizing curve.
FIGURE 1.33 Quadrant II permanent magnet demagnetizing curve.
tmp54F87_thumb_thumb
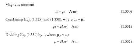
Permanent Magnet Current Loop Model. A high-energy permanent magnet can be modeled as a current loop by equating the magnetic moments as follows, where Hc is coercive force.This is 99.99 percent accurate for short magnets with high coercive force (NdFeB or SmCo), and 70 percent accurate for long magnets with low coercive force (alnico).
tmp54F88_thumb_thumb
Permanent Magnet Pole Strength and Dipole Model. The magnetic dipole moment m can also be written as the product of the magnetic pole strength p and the distance l between the poles. The magnetic pole strength p of a high-energy permanent magnet can be approximated by the product of the coercive force Hc and the pole face area wt.
tmp54F89_thumb_thumb