Magnetic Moment in Atoms (Bohr Magneton) (Electric Motors)

1.7.4
The magnetic moment in various types of materials is a result of the following factors.
• Electron orbit. An electron in an orbit around a nucleus is analogous to a small current loop, in which the current is opposite to the direction of electron travel. This factor is significant only for diamagnetic and paramagnetic materials, where it is the same order of magnitude as the electron spin magnetic moment. The magnetic properties of most materials (diamagnetic, paramagnetic, and antiferromagnetic) are so weak that they are commonly considered to be nonmagnetic.
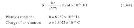
• Electron spin. The electron cannot be accurately modeled as a small current loop. However, relativistic quantum theory predicts a value for the spin magnetic moment (or Bohr magneton P) as shown following in Eq. (1.344). In an atom with many electrons, only the spin of electrons in shells which are not completely filled contribute to the magnetic moment. This factor is at least an order of magnitude larger than the electron orbit magnetic moment for ferromagnetic, antiferromag-netic, and superparamagnetic materials.
Bohr magneton (spin magnetic moment)
tmp54F94_thumb_thumb
Mass of an electron me = 9.1094 x 10 31 kg
• Nuclear spin. This factor is insignificant relative to the overall magnetic properties of materials. However, it is the basis for nuclear magnetic resonance imaging
(MRI).
• Exchange force. The exchange force is an interaction force (or coupling) between the spins of neighboring electrons. This is a quantum effect related to the indistinguishability of electrons, so that nothing changes if the two electrons change places. The exchange force can be positive or negative, and in some materials the net spins of neighboring atoms are strongly coupled.
Chromium and manganese (in which each atom is strongly magnetic) have a strong negative exchange coupling, which forces the electron spins of neighboring atoms to be in opposite directions and results in antiferromagnetic (very weak) magnetic properties. Iron, cobalt, and nickel have unbalanced electron spins (so that each atom is strongly magnetic) and have a strong positive exchange coupling. Therefore, the spins of neighboring atoms point in the same direction and produce a large macroscopic magnetization. This large-scale atomic cooperation is called ferromagnetism.