AC Coil (Electric Motors)

1.10.2
tmp54F126_thumb_thumbtmp54F127_thumb2tmp54F128_thumb_thumb
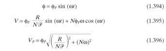
If the magnetic flux is assumed to be sinusoidal, the voltage and the magnetic flux magnitudes can be related as follows.
tmp54F125_thumb_thumbtmp54F129_thumb_thumb
In general, the resistive impedance of an ac coil is far less than the reactive impedance. Therefore, Eq. (1.396) can be simplified as follows to solve for the number of turns N.
tmp54F130_thumb_thumb
Equation (1.385) can be written to solve for the maximum allowable total wire diameter based on the number of turns and the winding cross-sectional area.
tmp54F131_thumb_thumb
Equations (1.369) through (1.373) were curve-fit to a single expression for the total wire diameter. These equations can be written to solve for the AWG wire size, as was done in Eq. (1.384), and as shown here for single-build insulation, Eq. (1.401). The AWG wire sizes are in integer increments; therefore, only the rounded-up integer value of the expression is useful in this case. Note that this equation uses the wire diameter in units of meters.
tmp54F132_thumb_thumb
With the AWG wire size determined, the actual bare wire diameter can be obtained from Eq. (1.369), the total wire diameter can be obtained from Eqs. (1.370) through (1.373), and the coil resistance can be obtained from Eq. (1.379).
With the coil resistance defined, the actual peak magnetic flux <|)A can be determined from Eq. (1.402), for the condition when the coil resistive impedance is significant.
tmp54F133_thumb2tmp54F134_thumb_thumbtmp54F135_thumb_thumb
The power dissipation at the elevated temperature can be calculated as follows, and the coil temperature rise can be obtained from Eqs. (1.387) through (1.391).
tmp54F136_thumb_thumb