DC Coil (Electric Motors)

1.10.1
tmp54F117_thumb_thumbCylindrical bobbin dimensions for coil winding.
FIGURE 1.38 Cylindrical bobbin dimensions for coil winding.
tmp54F119_thumb_thumb
The bare wire diameter must be larger than or equal to the expression on the right of Eq. (1.383) to guarantee that the minimum coil NI is at least as large as the required NI. Equation (1.369) can be written to solve for the AWG wire size, as follows. The AWG sizes are typically in integer increments; therefore, only the rounded-down integer value of the expression is useful in this case. AWG wire sizes are available in half-gauge increments, but in small quantities they are 2 to 3 times more expensive. Note that the AWG number is dimensionless and that both d0 and dB must have the same units:
tmp54F120_thumb_thumb
The coil resistance can be obtained from Eq. (1.379), the coil inductance can be obtained from Eq. (1.31), and the coil current can be obtained from Ohm's law. The power dissipation at the elevated temperature can be calculated as follows.
tmp54F121_thumb_thumb
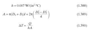
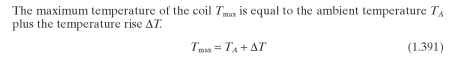
The steady-state temperature rise of the coil can be determined as shown here, where h is the combined heat transfer coefficient for convection and radiation, A is the heat transfer surface area of the coil, and AT is temperature rise above the ambient temperature.
tmp54F122_thumb_thumbtmp54F123_thumb_thumbtmp54F124_thumb_thumb