Crankshaft
In depth topic information.
Approximate Axial Field Bz, Based on a Parallel Straight Wire (Electric Motors)
1.8.3
Assumption
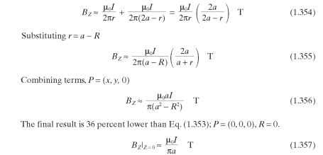
The magnetic field on the XY plane (z = 0, R < a) can be very roughly approximated on the field between two parallel straight wires as follows.
‹
›
Home
View web version