Axial Field (Bz). (Electric Motors)

1.8.2
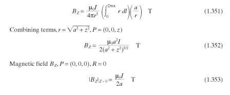
The Biot-Savart equation Eq. (1.350) can be easily integrated to obtain the axial (Z axis) magnetic field Bz (x = 0, y = 0, R = z).
Magnetic field on the Z axis (exact)
tmp54F101_thumb_thumbGeometric configuration for the Biot-Sauart law.
FIGURE 1.36 Geometric configuration for the Biot-Sauart law.