Crankshaft
In depth topic information.
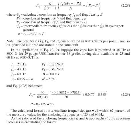
Calculation of Core Losses at Frequencies Intermediate to Two Frequencies for a Given Flux Density (Electric Motors)
2.4.2
‹
›
Home
View web version