CORE LOSS (Electric Motors)

2.4
2.4.1

Determination of Hysteresis and Eddy Current Coefficient and Hysteresis Exponent Flux Density and Frequency Variable

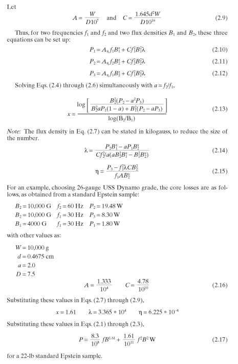
In using the classical equations to calculate hysteresis and eddy current losses, it is necessary to know the values of the coefficients and hysteresis exponent for the gauge and grade involved. These can be obtained by simultaneous solution of three equations, with the flux density and frequency as variables. The hysteresis loss equation is:
tmpF5_thumb_thumbtmpF6_thumb_thumbtmpF7_thumb_thumb
Equation (2.10) checked the observed values over the flux density range of about
2000 to 12,000 G with a precision of 3 percent, and between 4000 and 10,000 G at 1
percent in the frequency range of 25 to 70 cycles.
These equations are limited in application to the flux range of about 2000 to 12,000 G. Above 12,000 G the hysteresis exponent increases in value, and it also changes below about 2000 G. It is suggested that the constants for these equations be determined for a range of flux density and frequency not exceeding the region for which calculations are desired—for instance, 8000 to 11,000 G, 50 and 60 Hz.
Note: This separation method and the equations apply only to essentially nonori-ented material of uniform properties.
Hysteresis and Eddy Current Loss Separation Equations, Constant Flux Density and Variable Frequency. When it is desirable to obtain information concerning the hysteresis and eddy current loss components of the total core loss for one or more frequencies, the data required are the core losses at two frequencies for a given flux density.
tmpF8_thumb_thumbtmpF9_thumb_thumb

TABLE 2.3 Variation of a with Frequency

Variation of a with Frequency
In obtaining separation data, it is suggested that the two measuring frequencies should not be separated more than necessary for the range desired. If the separation is desired at 60 cycles, the measuring frequencies 60 and either 50 or 70 Hz are recommended.
For example, taking 24-gauge USS Dynamo, calculate the hysteresis and eddy loss at 50 and 60 Hz at 10,000 G. The measured data at 10,000 G are as follows:
At 50 Hz (fi), the total loss Px = 0.812 W/lb. At 60 Hz f2), the total loss P2 = 1.039 W/lb. From Table 2.3, a = 1.2.
From Eq. (2.15), the eddy loss Pe at 50 Hz (f1) can be obtained as follows:
tmpF11_thumb_thumb
Similarly, using Eqs. (2.23) through (2.25), the loss components for 50 and 60 cycles can be calculated and listed as in Table 2.4 for 10,000 G.
Separation of losses can also be calculated graphically, and the procedure is well known, being a graphical expression of Eq. (2.18) or (2.19), which is used after dividing by the frequency. The calculation method is more flexible and probably more definite than the graphical method.
Note: This separation method and the equations apply only to essentially nondirec-tional material of uniform properties.

TABLE 2.4 Variation of Core Loss with Frequency



50 Hz 60 Hz
Eddy loss: 0.269 W/lb 0.388 W/lb
Hysteresis loss: 0.543 W/lb 0.651 W/lb
Total loss: 0.812 W/lb 1.039 W/lb