Coil Design Procedures Using the Copper Area Ratio Approximation (Electric Motors)

1.10.4
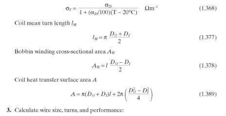
The equations given previously in Sec. 1.10 for the coil geometry, dc coil performance, ac coil performance, and copper area ratio are listed in the following two subsections. These general design procedures for dc and ac coils will determine the wire size, the number of turns, and the coil performance from the known coil voltage, bobbin geometry, and required magnetic performance NI or <).

DC Coil Design Procedure

1. Given:
Coil dc voltage V
Required amp-turns NI
Expected maximum coil temperature T
Ambient temperature TA
Copper area ratio KA
Winding density factor C
Axial bobbin winding length l
Inside bobbin winding diameter DI
Outside bobbin winding diameter DO
tmp54F-141_thumbtmp54F-142_thumb

AC Coil Design Procedure

tmp54F-143_thumbtmp54F-144_thumbtmp54F-145_thumb