Static Analysis (DC, Steady State) (Electric Motors)

1.11.1
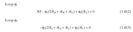
The reluctance circuit for the system in Fig. 1.39 can be solved by writing the equation for each flux loop, based on Eq. (1.14). In general, the magnetomotive forces around each loop are summed to zero, X NI = 0. This results in two flux-loop equations with two unknowns. The circuit elements and the loop equations for both of the flux loops are listed here.
tmp54F146_thumb_thumb(a) Example of a reluctance actuator in which only one coil is used, and (b) the corresponding reluctancy
FIGURE 1.39 (a) Example of a reluctance actuator in which only one coil is used, and (b) the corresponding reluctancy circutmp54F148_thumb_thumbit.
The reluctances for the actuator in Fig. 1.39 can be easily calculated from Eqs. (1.29) and (1.116) through (1.163), and the coil current I can be calculated by dividing the dc source voltage V by the coil resistance R. These equations can then be solved for the loop fluxes as follows.
tmp54F149_thumb_thumb
Leakage factor
tmp54F150_thumb_thumb
The system reluctance defined in Eq. (1.418) can be used to calculate the inductance of the coil from Eq. (1.31), and if a permanent magnet replaces the coil, a load line can be calculated from Eq. (1.269) as follows.
tmp54F151_thumb_thumb
The force on the armature can be calculated from Eq. (1.74) by determining the magnetizing force across the air gap as follows.The system in Fig. 1.39 does not have an armature coil; therefore, Na = 0.
tmp54F152_thumb_thumb