Dynamic Analysis (AC and Motion) (Electric Motors)

1.12.2
tmp54F-180_thumb
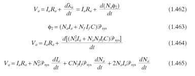
If a transient solution is required, or if the armature is allowed to move, then the current in the moving coil must be defined with both Ohm's law and Faraday's law, Eq. (1.16) and (1.20), as follows. In this derivation, the field coil is assumed to have a constant current and a constant number of turns. The permeance of the working air gap is also assumed to be constant.
tmp54F-181_thumb
Substitution of Eqs. (1.428), (1.457), (1.459), and (1.460) into Eq. (1.465) gives the following result for the voltage on the moving armature coil.
tmp56D-1_thumb
The first term represents the resistance voltage drop, the second term represents the inductive voltage drop, the third term represents the voltage drop produced by the velocity of the armature coil as it passes through the field produced by the field coil, and the fourth term represents the voltage drop produced by the velocity of the armature coil as it passes though the field produced by itself (this is an armature reaction voltage). Both the third term and the fourth term contain the armature velocity and are usually referred to as the back emf. Equation (1.465) can be written as follows.
Dynamic solution for Ia
tmp56D-2_thumb
Equation (1.467) can be solved for the current Ia, and the magnetic flux <|)2 can be obtained by solving Eq. (1.453) based on the coil current. Equation (1.467) describes the time-varying coil current I as a function of the known variables (the coil voltage, the system permeance, the number of turns in each coil, the current in the bias field coil, the armature velocity, and the coil resistance). Equation (1.467) also shows that the coil current is a function of the armature velocity.
An alternative solution method for this system is to solve Eq. (1.452) for the coil current Ia, substitute the result into Eq. (1.462), and then rearrange the terms as follows to solve for the magnetic flux.
tmp56D-3_thumb
Equation (1.472) describes the magnetic flux <)2 as a function of the known variables (the coil voltage, the system permeance, the number of turns in each coil, the current in the bias field coil, the armature velocity, and the coil resistance). Equation (1.472) also shows that the magnetic flux is a function of the armature velocity.
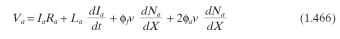
The performance of the system shown in Fig. 1.42 can be calculated by solving the differential equation for the coil current I4, Eq. (1.467), or the differential equation
for the magnetic flux < 2, Eq. (1.472). In either case, Eqs. (1.452), (1.447), (1.461),
tmp56D-4_thumbtmp56D-6_thumbtmp56D-5_thumbBlock diagram for moving-coil actuator.
FIGURE 1.43 Block diagram for moving-coil actuator.