Static Analysis (DC, Steady State) (Electric Motors)

1.12.1
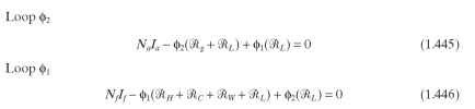
The reluctance circuit for the system in Fig. 1.42 can be solved by writing the equation for each flux loop, based on Eq. (1.14). In general, the magnetomotive forces around each loop are summed to zero, X NI = 0. This results in two flux-loop equations with two unknowns. The circuit elements and the loop equations for both of the flux loops are listed here.
tmp54F166_thumb_thumb(a) A moving-coil actuator in which the field coil is stationary and the armature coil moves. This shape of this actuator is cylindrical.(b) The corresponding reluctance circuit.
FTGURE 1.42 (a) A moving-coil actuator in which the field coil is stationary and the armature coil moves. This shape of this actuator is cylindrical. (b) The corresponding reluctance circuit.
tmp54F169_thumb_thumbtmp54F170_thumb_thumbtmp54F171_thumb_thumb
The system reluctance defined in Eq. (1.461) can be used to calculate the inductance of the moving armature coil from Eq. (1.31), as follows.
tmp54F172_thumb_thumbtmp54F174_thumb_thumbtmp54F173_thumb_thumbtmp54F175_thumb_thumbtmp54F176_thumb_thumb
These equations can be combined to give the following result.
tmp54F177_thumb_thumb
The armature flux §a and the field coil flux <f can be obtained from Eq. (1.453) by alternately setting the current in each coil to zero. The flux densities can then be obtained by dividing by the cross-sectional area of the gap.
tmp54F178_thumb_thumb
Combining Eqs. (1.458), (1.459), and (1.460) with Eq. (1.455) gives the following equation for the force on the moving armature coil. Equation (1.461) is also called the Lorentz force.
tmp54F179_thumb_thumb