General Air Gap Linear Equations (Electric Motors)

1.4.1
An actuator or motor generally has one or two magnetizing sources. Some examples are listed here.
tmp540114_thumb_thumbtmp540115_thumb_thumbtmp540116_thumb_thumb
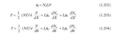
The first term in Eqs. (1.203) and (1.204) represents the reluctance force produced by a change in air gap permeance as a function of the armature position. The second term represents the Lorentz force on the moving coil due to the interaction with the magnetic flux produced by the armature coil (this is typically called the armature reaction force). The third term represents the Lorentz force on the moving coil due to the interaction with the magnetic flux produced by the bias field coil.