Reluctance Actuators with Small Air Gaps and Saturation (Electric Motors)

1.4.2
When an air gap is very small, the permeance 3\ becomes very large in comparison to the fringing flux paths SP2 through SP10. Therefore, the total permeance 3\otal can be closely approximated by the direct face-to-face permeance 9\, Eq. (1.30).
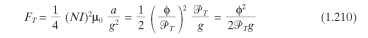
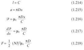
Reluctance Normal Force. The force for the actuator in Fig. 1.16 can be written as
tmp540-117_thumb
for small g and limited NI.
All of the variables in Eq. (1.209) are constant except the armature position g. Therefore, the armature reluctance force is proportional to the inverse square of the armature position (or to the size of the working air gap). If the steel parts become saturated in some armature positions, then the air gap magnetizing force is reduced. Under this condition the air gap magnetizing force is a function of the armature position.
 Actuator with reluctance force produced normal to the armature bottom surface, in the direction of motion X.
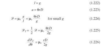
D = depth into the sheet
FIGURE 1.16 Actuator with reluctance force produced normal to the armature bottom surface, in the direction of motion X.
When the steel parts become saturated the total magnetic flux <) in the system reaches a maximum limit, as shown in Fig. 1.4. Equation (1.209) can be written as follows by substituting Eqs. (1.18), (1.21), and (1.30):
tmp54F-2_thumb
for small g
tmp54F-3_thumb
for small g and limited <) and B.
All of the variables in Eq. (1.211) are constant. Therefore, the armature reluctance force is constant regardless of the armature position when the system is saturated. Due to symmetry, the force on each side of the armature or on each pole of the magnet frame is half of the total force, as shown here:
tmp54F-4_thumb
for a single pole, where g is small.
Maximum Possible Reluctance Normal Force. The reluctance normal force in Eq. (1.212) can be divided by the pole area a to obtain the normal magnetic pressure p on the pole, as shown in Eq. (1.213). The maximum normal magnetic pressure is dependent only on the saturation magnetic flux density (for small gaps). Steel typi-
cally saturates at 1.60 T. Therefore, the maximum possible normal magnetic pressure for this steel is 150 lb/in2:
tmp54F-5_thumb
for a single pole, where g is small.
This relationship can be converted into the following simple design strategy. If 150 lb of magnetic force is required, then at least 1.0 in2 of steel is needed. Conversely, if we are limited to 1.0 in2 of steel, then the maximum possible magnetic force will be 150 lb.
Reluctance Tangential Force. The force for the actuator in Fig. 1.17 can be written as follows, based on Eqs. (1.203) and (1.30). The motion of the armature x is defined to be in the direction to insert the armature into the stator cup. Also, Na = Ia = 0 because there is only one coil:
tmp54F-6_thumb
where C is small and NI is limited.
All of the variables in Eq. (1.218) are constant. Therefore, the armature reluctance force is constant regardless of the armature position. If the steel parts become saturated in some armature positions, then the air gap magnetizing force is reduced. Under this condition, the air gap magnetizing force is a function of the armature position, and a new air gap magnetizing force must be calculated at each position.
 Actuator with reluctance force produced tangential to the armature side surface, in the direction of motion x.
FIGURE 1.17 Actuator with reluctance force produced tangential to the armature side surface, in the direction of motion x.
When the steel parts become saturated, the total magnetic flux < in the system reaches a maximum limit, as shown in Fig. 1.4. Equation (1.218) can be rewritten as follows by substituting Eqs. (1.18) and (1.30):
tmp54F-8_thumb
where C is small and < is limited.
All of the variables in Eq. (1.220) are constant except for the armature position x. Therefore, the armature reluctance force is inversely proportional to the square of the armature position when the system is saturated. Equation (1.221) is the flux density B limited form of Eq. (1.220), which was obtained by substituting Eqs. (1.21) and (1.215) into Eq. (1.220). Equation (1.221) shows that the force is independent of the armature position x as long as the air gap flux density B is constant. The force is constant, and the air gap flux density is constant if the actuator steel parts are not saturated:
tmp54F-9_thumb
where C is small and B is limited.
tmp54F-10_thumb
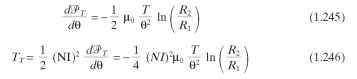
Reluctance Tangential Torque. The torque for the actuator in Fig. 1.19 can be written as follows, based on Eqs. (1.204) and (1.30). The motion of the armature 6 is defined to be in the direction to align the armature vertically with the stator poles. Also, Na = Ia = 0 because there is only one coil:
tmp54F-11_thumbForce curve performance variations due to modification of the pole shape.
FIGURE 1.18 Force curve performance variations due to modification of the pole shape.
tmp54F-13_thumb
where g is small and NI is limited.
All of the variables in Eq. (1.227) are constant. Therefore, the armature reluctance torque is constant regardless of the armature position. If the steel parts become saturated in some armature positions, then the air gap magnetizing force is reduced.
Actuator with reluctance torque produced tangential to the armature end surface, in the direction of motion 8.
D = Depth into paper.
FIGURE 1.19 Actuator with reluctance torque produced tangential to the armature end surface, in the direction of motion 8.
Under this condition the air gap magnetizing force is a function of the armature position, and a new air gap magnetizing force must be calculated at each position.
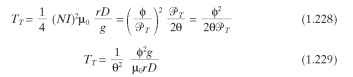
When the steel parts become saturated, the total magnetic flux <) in the system reaches a maximum limit, as shown in Fig. 1.4. Equation (1.227) can be rewritten as follows by substituting Eqs. (1.18) and (1.30):
tmp54F-15_thumb
where g is small and < is limited.
All of the variables in Eq. (1.229) are constant except for the armature position 8. Therefore, the armature reluctance torque is inversely proportional to the square of the armature position when the system is saturated. Again, as shown in the previous section, the torque produced at each end of the armature is one-half of the total torque:
tmp54F-16_thumb
where g is small and < is limited.
Equation (1.231) is the flux density B limited form of Eq. (1.230), which was
obtained by substituting Eqs. (1.21) and (1.223) into Eq. (1.230). Equation (1.231)
shows that the torque is independent of the rotation angle 8 as long as the air gap flux density B is constant. The torque is constant, and the air gap flux density is constant if the actuator steel parts are not saturated:
tmp54F-17_thumb
where g is small and B is limited.
Moving-coil actuator producing a Lorentz force in the direction of motion X.
FIGURE 1.20 Moving-coil actuator producing a Lorentz force in the direction of motion X.

Moving-Coil Actuator Lorentz Force.

The force for the moving-coil actuator in Fig. 1.20 can be written as follows, based on Eqs. (1.203) and (1.30).The motion of the armature X is defined to be in the direction to bring more of the moving coil into the magnetic circuit. Also, 9 is constant, because the size of the air gap does not change as the position of the moving coil changes. Therefore, the rate of change of the permeance with respect to the armature position is zero.
tmp54F-19_thumb
The length of wire on the moving coil that is in the air gap permeance path can be calculated as follows. The
permeance is based on the direct face-to-face flux path with the assumption of a small gap.
tmp54F-20_thumb
The rate of change of the turns in the moving coil with respect to the moving-coil position is calculated by dividing the number of turns in the moving coil by the length of the moving coil, as follows.
tmp54F-21_thumb
The total magnetic flux across the moving coil in the small air gap is equal to the magnetic flux from the bias field < a plus the magnetic flux from the moving coil < f. The total magnetic flux density B across the moving coil in the small air gap can also be calculated as shown here.
tmp54F-22_thumb
Substituting Eqs. (1.232), (1.233), (1.234), and (1.235) into Eq. (1.203) gives the
following moving-coil force characteristic, known as the Lorentz force.
tmp54F-23_thumb
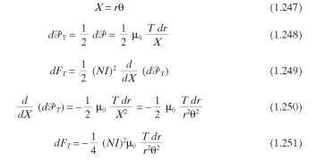
Reluctance Normal Torque. The torque for the actuator shown in Fig. 1.21 can be written as follows, based on Eqs. (1.204) and (1.30).The motion of the armature 6 is defined to be in the direction to open the air gap g. Since the air gap thickness varies as a function of the radius from the pivot point, the equations are written in differential form.
tmp54F-24_thumb
The permeance of the flux path between each pole and the armature is obtained by integrating over the entire pole face.
tmp54F-25_thumbtmp54F-26_thumb
Differentiating the permeance with respect to the armature position and substituting the result into Eq. (1.204) gives the total torque on the armature.
tmp54F-27_thumb
The location of the force centroid on the armature can be obtained by dividing the total armature torque, Eq. (1.246), by the total force on the armature. The total armature force is calculated by integrating the differential force over the radial length of the armature, as follows. The first step is to convert the permeance equation Eq. (1.242) into linear coordinates.
tmp54F-28_thumb
Integrating Eq. (1.251) gives the total armature force, as follows.
Actuator with reluctance torque produced normal to the armature bottom surface, in the direction of motion 6.
FIGURE 1.21 Actuator with reluctance torque produced normal to the armature bottom surface, in the direction of motion 6.
tmp54F-30_thumb