Inductance for a Single-Turn Wire Loop (Electric Motors)

1.8.4
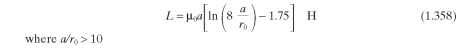
The following approximation for the inductance of a single-turn wire loop is very accurate for small wires (a/r0 > 10), from Plonsey and Collin (1961) (r0 = wire radius). The classical solution (which involves elliptic integrals) is required when the wire is large.
tmp54F104_thumb_thumb