Mechanical Dynamics (Electric Motors)

1.11.3

tmp54F-159_thumbReluctance actuator mass, spring, and damping dynamic system.
FIGURE 1.40 Reluctance actuator mass, spring, and damping dynamic system.
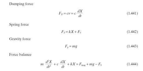
tmp54F-161_thumbtmp54F-162_thumbtmp54F-163_thumbReluctance actuator armature free-body diagram.
FIGURE 1.41 Reluctance actuator armature free-body diagram.
tmp54F-165_thumb