Dynamic Analysis (AC and Motion) (Electric Motors)

1.11.2
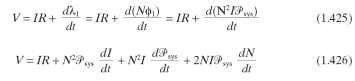
The force in Eq. (1.424) is valid for steady-state dc current with no armature motion If a transient solution is required, or if the source voltage is a function of time (suc as ac voltage), or if the armature is allowed to move, then the coil voltage must b defined using both Ohm's law and Faraday's law. Equation (1.417) is also used as th definition of magnetic flux for this system.
tmp54F153_thumb_thumb
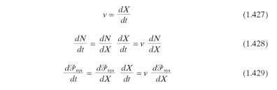
The time derivatives of the coil turns N and the system permeance SPsys in Eq. (1.424) can be expanded as a function of the armature position X and the armature velocity v by using the chain rule as follows.
tmp54F154_thumb_thumb
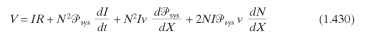
Substitution of Eqs. (1.428) and (1.429) into Eq. (1.426) gives the general form of the coil equation.
tmp54F155_thumb_thumb
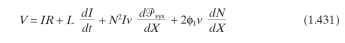
The second term can be written using the inductance definition, Eq. (1.31), and the fourth term can be written using the permeance definition, Eq. (1.419), to provide a more familiar appearance, as follows.
tmp54F156_thumb_thumb
The first term represents the resistance voltage drop, the second term represents the inductive voltage drop, the third term represents the voltage drop produced by the armature velocity and by changing reluctance, and the fourth term represents the voltage drop produced by the armature velocity and by the change in the number of turns that link the magnetic flux. Both the third term and the fourth term contain the armature velocity and are usually referred to as
the back electromotive force (emf). The coil in the system shown in Fig. 1.42 (see Sec. 1.12) has a constant number of turns linking the flux. Therefore, the fourth term can be ignored. The resulting voltage equation can be written as follows.
tmp54F157_thumb_thumb
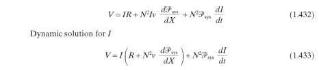
Equation (1.433) can be solved for the current I, and the magnetic flux < 1 can be obtained by solving Eq. (1.419) based on the coil current. Equation (1.433) describes the time-varying coil current Ias a function of the known variables (the voltage, the system permeance, the number of turns in the coil, the armature velocity, and the coil resistance). Equation (1.433) also shows that the coil current is a function of the armature velocity.
An alternative solution method for this system is to substitute Eq. (1.419) into Eq. (1.425), and then rearrange the terms as follows to solve for the magnetic flux.
tmp54F158_thumb_thumb
Equation (1.437) can be solved for the magnetic flux < 1, and the coil current can be obtained by solving Eq. (1.419) based on the magnetic flux. Equation (1.437) describes the time-varying magnetic flux < 1 as a function of the known variables (the coil voltage, the system permeance, the number of turns in the coil, and the coil resistance), and it shows that the magnetic flux is not a function of the armature velocity. Equation (1.438) shows that the dc steady-state solution is identical to Eq. (1.420).