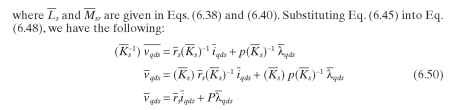
Let us now transform the stator voltage equations, Eqs. (6.17) and (6.18), and the flux linkage equations, Eqs. (6.21) and (6.22), using the stator transform, Eq. (6.45). Again writing in concise matrix form, these become:


FIGURE 6.14 Rotor transformation to q-d axis.

Advantage has been taken here because rs is a diagonal matrix and Ks is a constant matrix. We now have the stator voltage equations [Eqs. (6.17) and (6.18)] in terms of the q-d variables.The flux linkage equations [Eqs. (6.21) and (6.22)] for the stator become:
where

