One might wonder, "why start with a two-phase motor to explain the single-phase motor?" However, a single-phase motor is designed to be "fooled" into acting like an unbalanced two-phase motor on starting, even though it is operating on a single-phase source when running and starting windings exist on the stator.

FIGURE 6.6 Concentric-wound polyphase configuration.

FIGURE 6.7 Concentric winding for a single-phase four-pole motor with two coils per pole. Solid lines indicate main winding coil sets; dashed lines indicate auxiliary winding coil sets.

FIGURE 6.8 Typical wound coil ready for insertion.
Consider Figure 6.11, showing a conceptual diagram of a balanced two-pole two-phase motor having sinusoidally distributed windings a and b located 90° electrical apart on the stator. The dashed lines indicate a sinusoidal winding distribution.
Directions of the magnetic axes of both the a and b windings for the arbitrarily assumed positive direction of current ia and ib are shown.We recognize that the individual mmf waves will always lie on the two stationary axes but certainly will change

FIGURE 6.9 Stator core assembly ready for coil insertion.

FIGURE 6.10 Partially inserted stator/coil assembly.
in magnitude and direction when sinusoidal currents flow in the windings. Let us call the special position around the inside of the stator tys, measured from the assumed positive direction of the a winding axis in a counterclockwise (CCW) direction. Assume each winding has an effective number of sinusoidally distributed turns Ns. Then the mmfs in the air gaps (two per winding axis) of each winding can be expressed with the assumptions of an infinite-permeance magnetic circuit and the mmf distributed evenly across the two air gaps in a sinusoidal fashion, as follows:


FIGURE 6.11 Conceptual diagram of a balanced two-pole two-phase motor.


which is a rotating mmf, having the same constant magnitude but rotating in a CW direction. Think again for a moment how you reverse direction in a single-phase motor having a running and starting winding. Do you not reverse the current in one of the windings (i.e., either the start or the run winding but not both)?
Thus, the results we have obtained so far are as follows:
• With a single balanced symmetrical stator winding we obtained two rotating, half-amplitude mmf waves, one going clockwise and one going counterclockwise. (Later we will discuss the double-revolving field analysis of the single-phase motor and will use this concept.)
• With two symmetrically balanced windings, 90° electrical apart and operated from a two-phase balance source, a constant-amplitude rotating magnetic field is obtained. The direction of rotation is a function of the current direction in the two windings.
Let us now relate what happens to the rotating mmf in considering two cases for the two-phase motor with the single-phase motor in mind.
1. Let us assume both balanced symmetrical windings are excited from the same voltage source. This is equivalent, of course, to single-phase excitation. Return to Eqs. (6.1), (6.2), and (6.9), with the excitation source equal to


Hence, we again have two equal oppositely rotating mmfs. The first term of mmf, rotates CCW. In terms of a single-phase motor, what does this mean? There can be no starting torque with equal excitation current, which implies that the two windings (start and run windings) are identical in electrical characteristics.
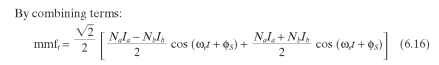
2. What if the two windings have different electrical characteristics and a different number of turns? Consider the following:


What does this mean? We have two unequal mmf magnitudes, the first being smaller and rotating CW and the second being larger and rotating CCW. The net mmf hence rotates CCW at coe. Does this not suggest a method by which we can start the single-phase motor? All we need is two windings having different electrical characteristics to get the motor moving, since one mmf is larger than the other. In the single-phase motor, one winding (start) is opened. The other winding (run) produces the double revolving field by Eq. (6.5), and we will show that the torque produced by the CW and CCW mmfs will result in a net torque which will accelerate the motor in the direction that the start winding gives in initial rotation.
We have now shown that a single-phase motor can produce a revolving field under starting and running conditions. Let us now proceed to develop the dynamic equations for the solution of the transient response. From these equations we will determine the steady-state circuit which can be used for performance calculations.